LP980 Transient Absorption Spectrometer
The LP980 Transient Absorption Spectrometer establishes a leading standard in transient absorption studies, serving as the primary instrument for diverse photochemical, physical, and biological investigations.
The LP980 Transient Absorption Spectrometer establishes a leading standard in transient absorption studies, serving as the primary instrument for diverse photochemical, physical, and biological investigations.
Key Technical Features:
- Integrated Spectrometer: Supports both transient absorption (TA) and laser-induced fluorescence (LIF) measurements.
- Extended Spectral Range: Measures transients up to 2.55 µm, accommodating a broad spectrum of samples and types.
- Simultaneous Spectral Acquisition: Features an integrated ICCD for capturing transient spectra with a single laser pulse.
- Comprehensive Software Control: Advanced software provides complete control over all instrument components and measurement parameters.
As the pioneering all-in-one system, the LP980 enables accurate measurement of transient absorption (TA), laser-induced fluorescence (LIF), and phosphorescence up to 2.55 µm, across a temporal range spanning nanoseconds to seconds. Its dual monochromator/spectrograph architecture facilitates both spectral and kinetic data acquisition within a single instrument, optimising both time and resources.
Offered in two configurations—LP980-K (kinetic PMT detector) and LP980-KS (kinetic PMT and spectral ICCD detector)—the LP980 can be tailored with a variety of pump lasers, probe sources, sample holders, and detectors to precisely meet specific research requirements. Our technical sales specialists are available to assist in configuring the optimal system for your experiments.
The user-friendly L900® software suite streamlines data acquisition and incorporates comprehensive analysis tools, including ΔOD calculations and multi-exponential decay fitting, negating the necessity for supplementary software.
Prior to measurement initiation, signal intensity can be previewed and optimized, significantly reducing experimental duration. The software provides thorough spectral calibration, automatic dark noise subtraction for the camera, and generates automated time-wavelength-temperature maps when used with compatible accessories. Integrated functionalities also include decay fitting and other analytical capabilities.
For advanced transient absorption kinetic analysis, the FLASH software package is offered.
Kinetic Transient Absorption
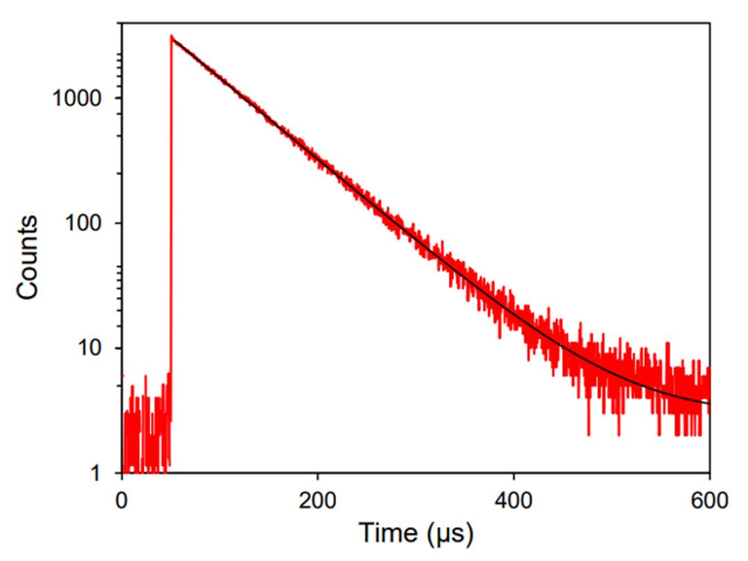
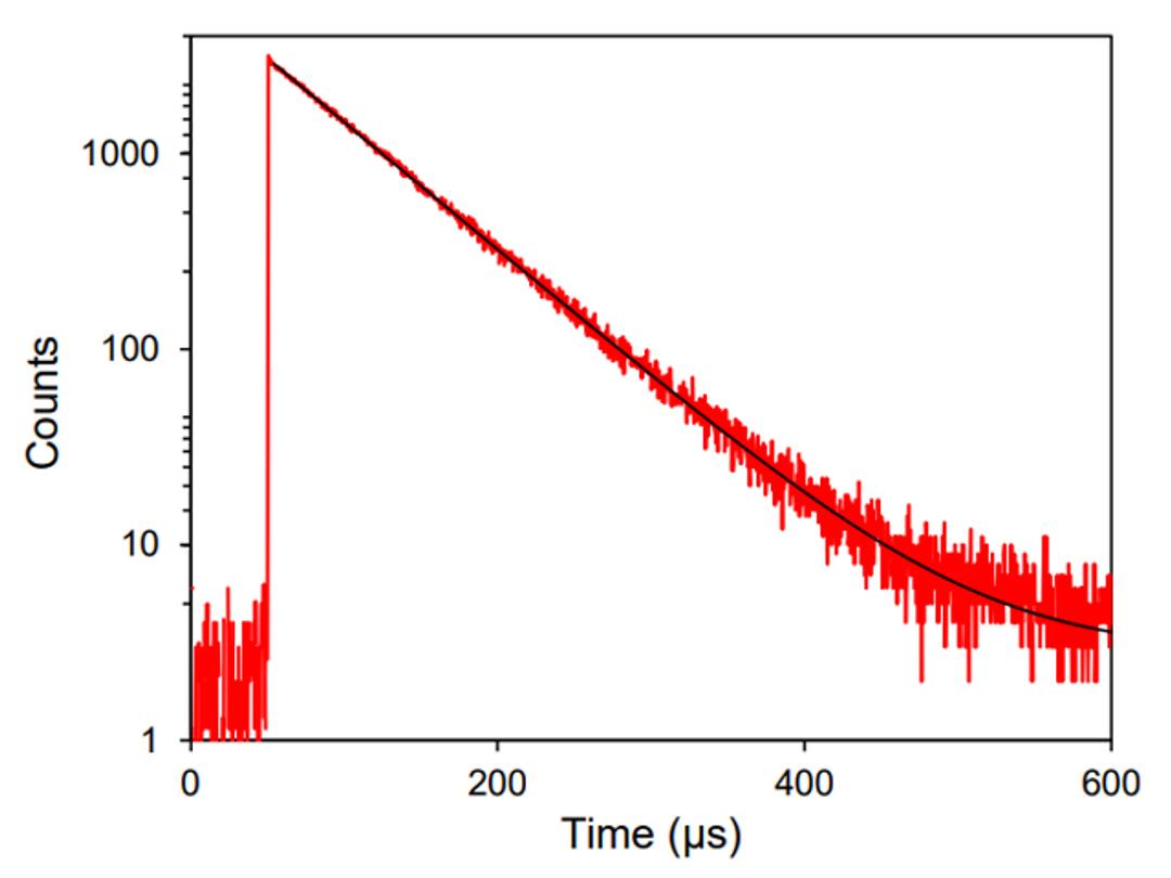
Triplet State Lifetimes
Nanosecond TA is an ideal technique for probing the kinetics of triplet states generated by a laser pulse. A key application is the characterisation of photosensitisers for catalysis or photodynamic therapy.
Kinetic Laser Induced Fluorescence
Singlet Oxygen Phosphorescence Lifetime
The LP980 can routinely measure laser-induced fluorescence using the standard PMT detector or InGaAs analogue infrared detector. Detection of singlet oxygen by luminescence, however, requires a highly sensitive NIR PMT and photon-counting electronics (multichannel scaling, or MCS). The LP980 can be equipped with such an upgrade, which removes the need for a second spectrometer for singlet oxygen detection.
Spectral Transient Absorption
Excited State Absorption and Ground State Depletion Spectra
The ICCD spectral detector provides the full TA spectrum at a user-set delay after the pump pulse. Although the same information can be obtained with the standard PMT (kinetic) detector, the ICCD offers faster results minimising lab time and sample exposure to the pump and probe light. Therefore, it is particularly recommended for light-sensitive samples.
Spectral Laser Induced Fluorescence
Low-Temperature Phosphorescence Spectra
Laser-induced fluorescence and phosphorescence spectra are readily acquired with the ICCD detector in the LP980 spectrometer. In the example below, a software-controlled cryostat accessory was used to cool a sample down to 77 K, increasing the intensity of phosphorescence. A map of the emission spectrum as a function of time, automatically acquired in the software, reveals the timescale of the luminescence decay.














