Products & ReviewLife Sciences
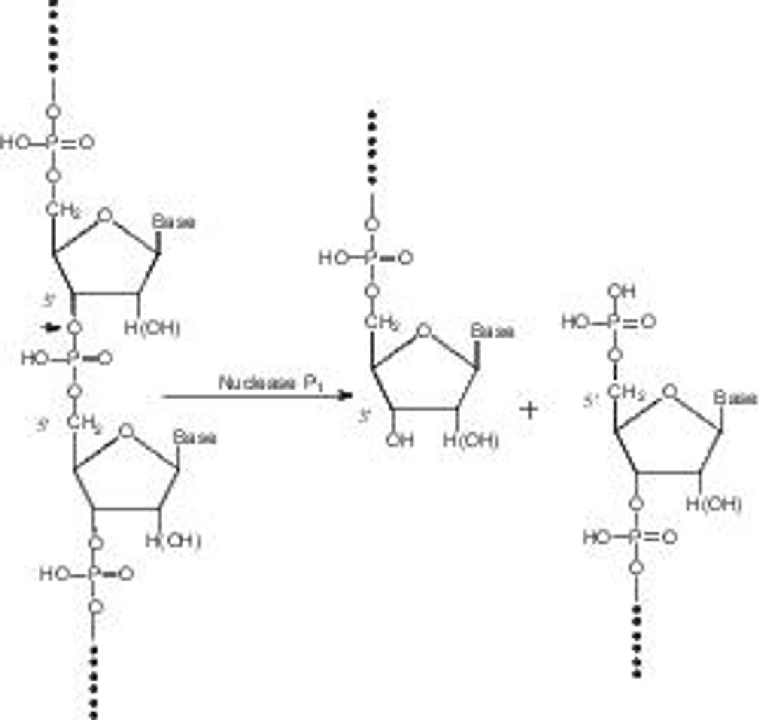
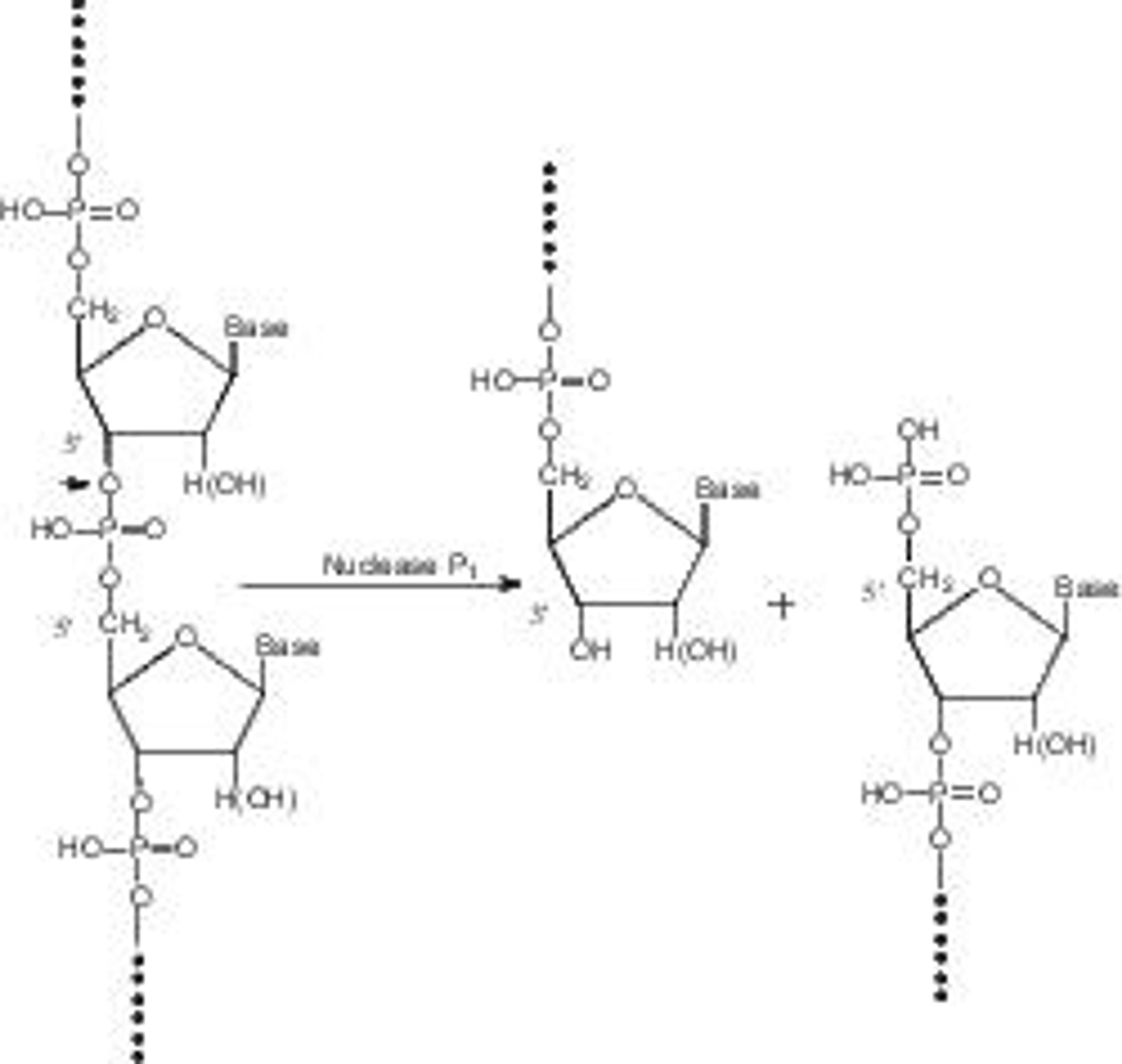
Nuclease P1 from Penicillium citrinum
lyophilized powder, ≥200 units/mg protein (E1%/280, 3′-5′-Phosphodiesterase)

The supplier does not provide quotations for this product through SelectScience. You can search for similar products in our Product Directory.
Nuclease P1 from Penicillium citrinum is a zinc-dependent endonuclease that exhibits increased activity in the presence of low concentrations of urea.

















