Chitin from shrimp shells
practical grade, powder

The supplier does not provide quotations for this product through SelectScience. You can search for similar products in our Product Directory.
Great product, highly recommended.
Bacterial cultivation and enzyme production
It is a very effective product. I used it for chitinase production during my PhD research work. It is very easy to use and readily available.
Review Date: 19 Jul 2021 | Merck
Application
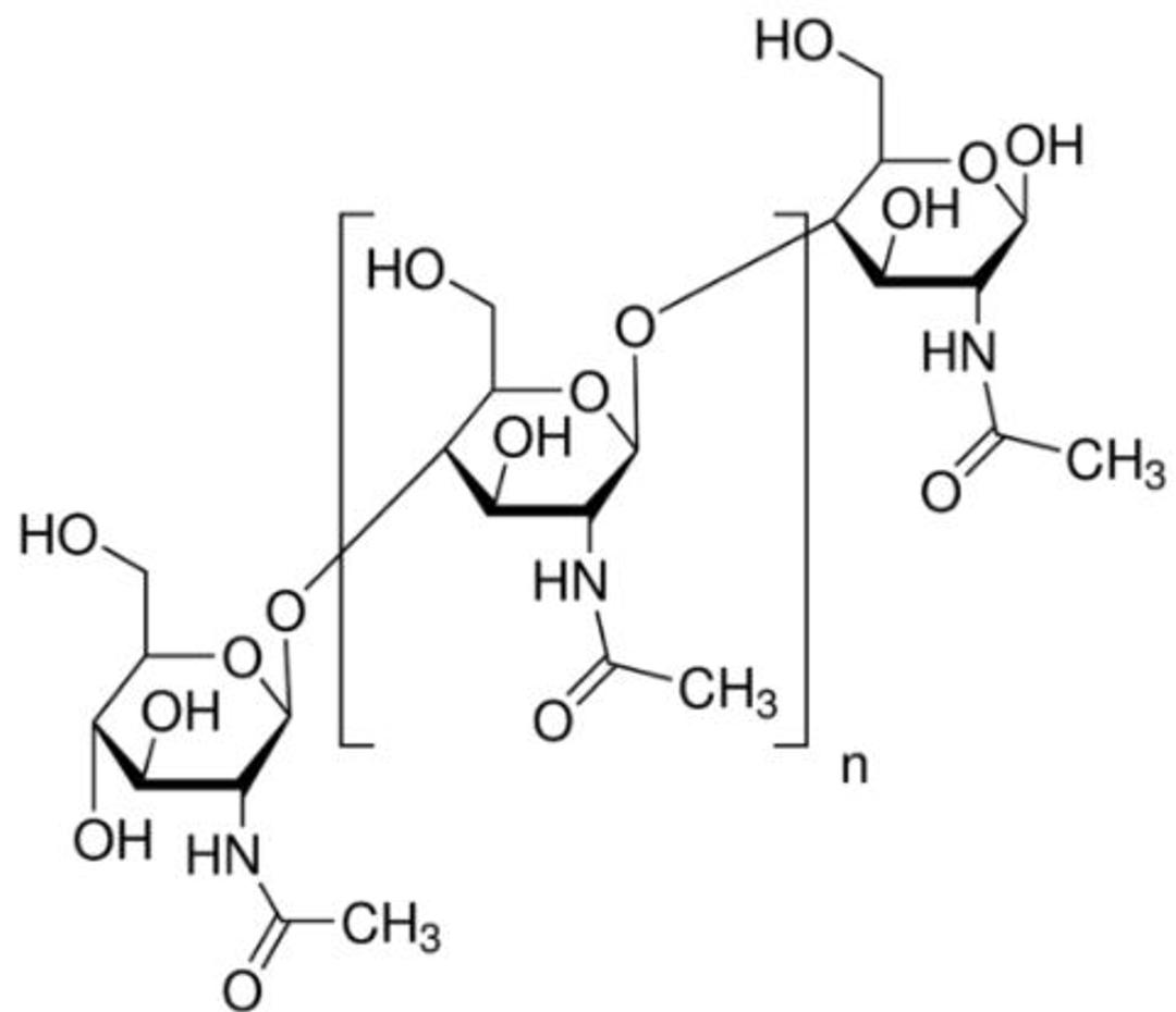
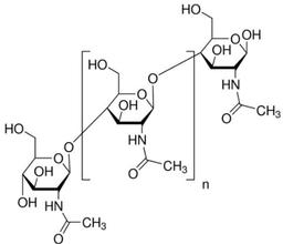
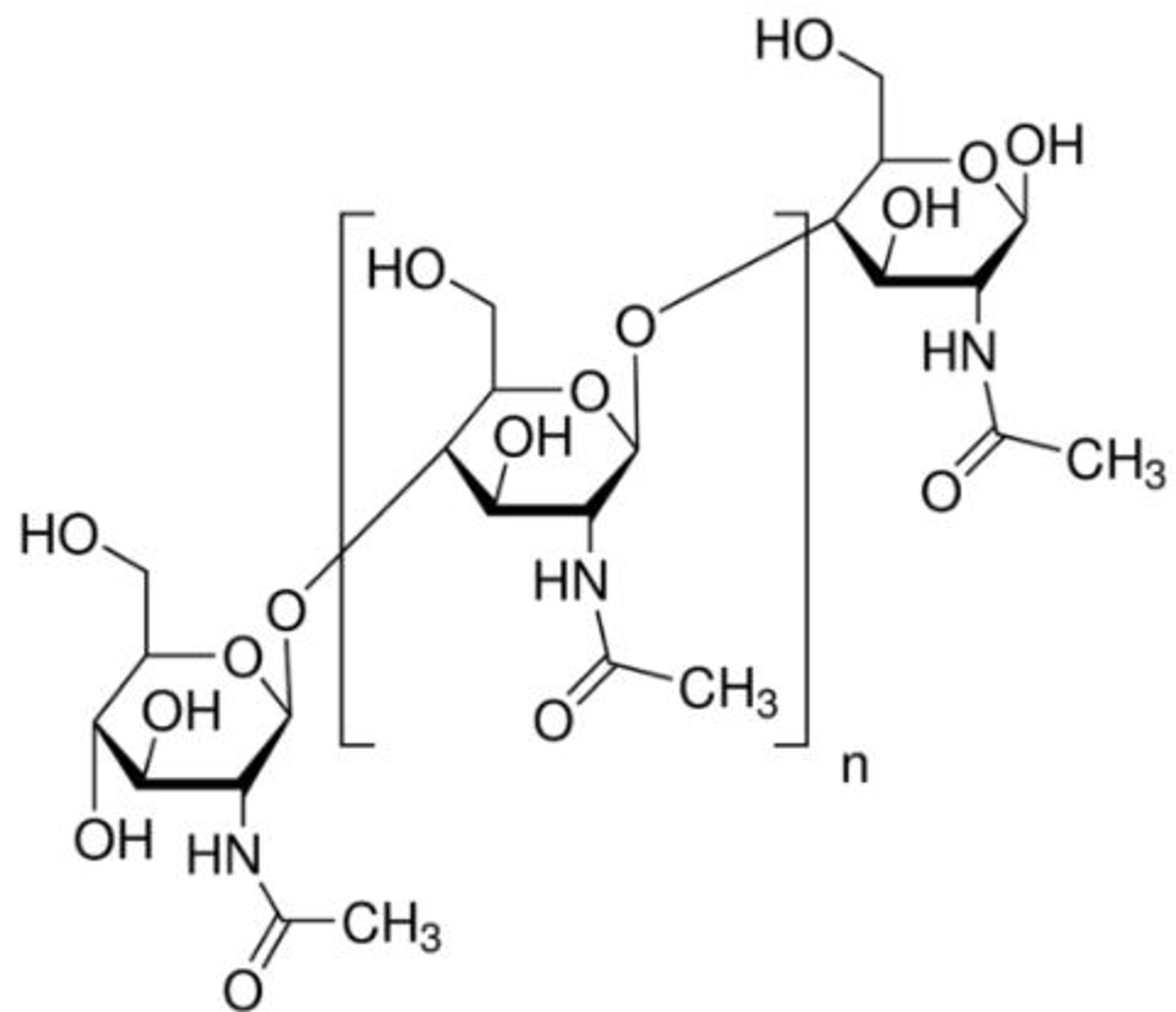
Chitin from shrimp shells, a long-chain polymer of a β-1,4 linked N-acetylglucosamine residues, may be used to study its physicochemical properties and role in the formation of arthropod exoskeletons. It may be used to identify and characterize chitinase(s) and chitin deacetylase(s) and as a control to study the structure of chitins from other species. It may be used in chitin asthma and allergy research. Chitin may be used as a viscosity/thickening agent or binder.
Chitin from shrimp shells is suitable for analysis of chitinase. It is a polysaccharide composed of N-acetyl-D-glucomasine that can also be used for the manufacture of glucosamine and chitosan.
Packaging
100 g in poly bottle
1 kg in poly drum
Quality
Requires purification prior to use as a substrate for chitinase.

















