Clara® Probe Mix
Clara® Probe Mix is the newest solution for qPCRs. With clear and consistent results, this cutting-edge qPCR mix will streamline your real-time PCR workload no matter what the application.
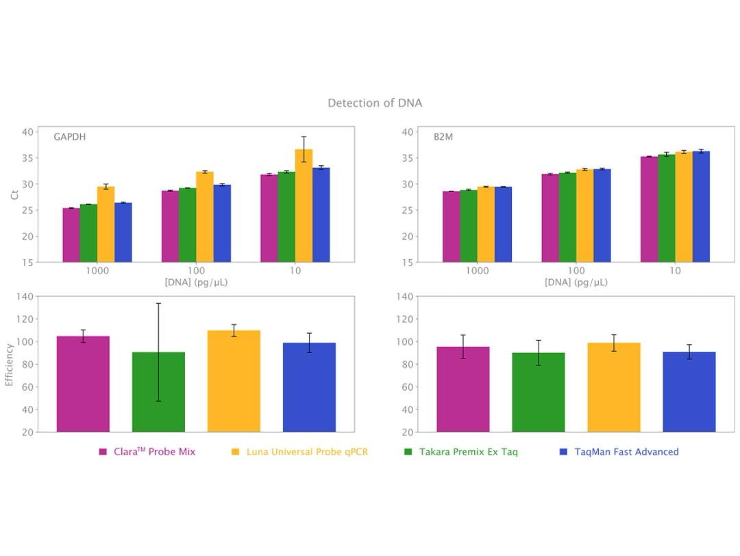
Excellent performance of qPCR mixes
qPCR of environmental samples
We recently switched to Clara Probe mix from our previous supplier and were amazed by the ease of the transition and how efficient and easy to use the Clara Probe mix was. The 4x concentration is much better for shipping and sustainability than our previous 2x mix (taqman environmental). It's also much cheaper and performs far better with more challenging samples. We have been very impressed with this and are now looking at changing our other PCR protocols to other mixes within the PCR Biosystems range.
Review Date: 11 Nov 2024 | PCR Biosystems
Clara® Probe Mix is a next-generation qPCR mastermix designed to give you reliable results with superior sensitivity. This optimised 4x formulation is engineered for maximum reliability in both single and multiplex assays. It is suitable for diagnostic test development and basic research and is universally compatible with all probe types and qPCR instruments.
Features
- Concentrated 4x mix format, ideal for high-throughput, highly multiplexed assays
- Superior detection of DNA targets
- Reliable quantification of low template amounts
- Reduced primer dimer formation for high specificity
- Antibody-mediated hot start technology
- AquaPlex formulation available for improved multiplex performance
- Compatible with all real-time PCR platforms - standard and fast cycling conditions
Multiplex qPCR assay performance may be compromised by certain probe dyes, such as Cy5, which can result in lower fluorescence and delayed amplification. If this is a concern, try our Clara® Probe Mix AquaPlex formulation which enables the use of alternative dyes like Texas Red in the Cy5 channel, improving both fluorescence intensity and target detection.




















